跳转至
Jeremy Feng's Blog
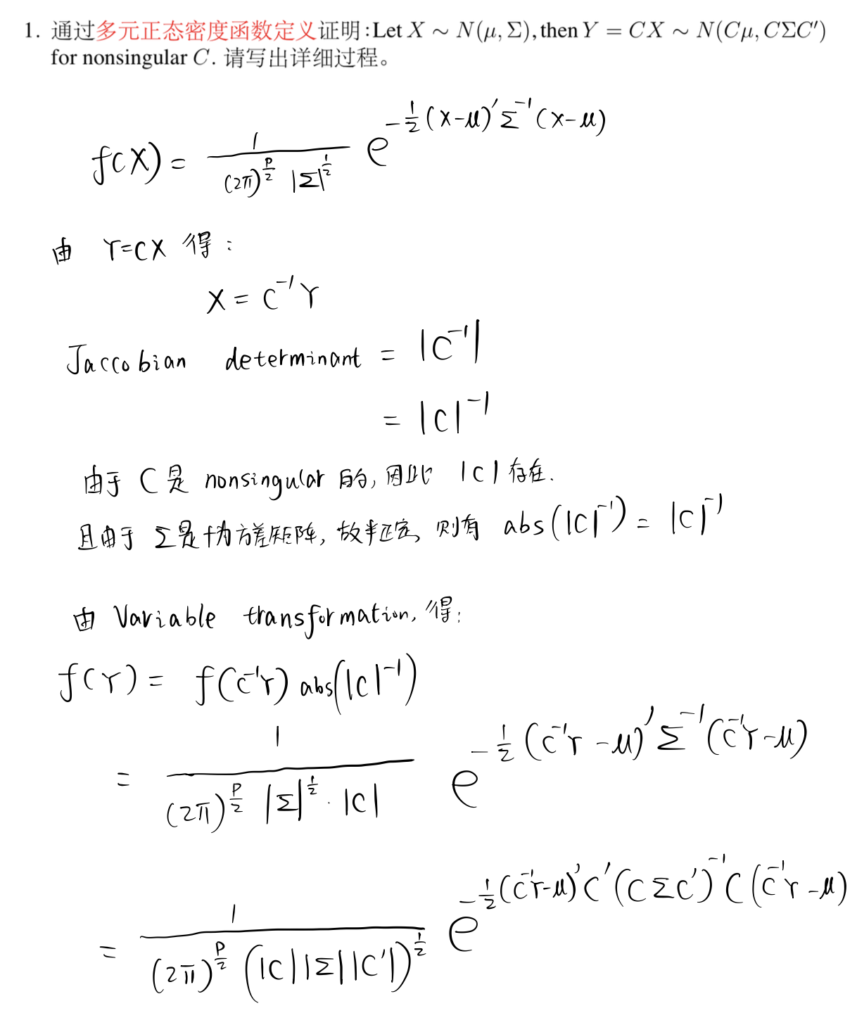
多元正态分布的线性变换仍为多元正态分布
正在初始化搜索引擎
首页
博客
代码
效率
标签
问答
关于
Jeremy Feng's Blog
首页
博客
博客
归档
归档
2026 年
2025 年
2024 年
2023 年
2022 年
标签
标签
Computer Science
IndieDev
LLM
LaTeX
LeetCode
Linux
PyTorch
Python
Rust
数据可视化
数据库
机器学习
深度学习
生活
统计
运筹学
量化研究
代码
代码
Pandas 数据框
NumPy 数组
List 列表
Loop 循环
Plot 绘图
Print 打印
Machine Learning 机器学习
SQL 数据库
R 语言
Others 其他
效率
效率
量化研究
写作
工具
标签
问答
关于
关于
About
回到首页
冯超
Jeremy Feng
2023 年 3 月 22 日
统计
阅读时间 1 分钟
统计
多元正态分布的线性变换仍为多元正态分布
¶
利用线性变换和雅可比矩阵,推导多元正态分布的线性变换的性质。
评论
回到页面顶部