基于 EM 算法的多元高斯混合模型聚类及其 Python 实现¶
基于 EM 算法,推导多元高斯混合模型聚类的参数迭代公式,并使用 Python 对数据集进行聚类和各类别的参数求解。
在编写代码的过程中,遇到了一个非常简单但一直没发现的 Bug。
定义数组用
all_density = np.array([0]*K),再用all_density[k] = k_density并不会让all_density的第k个元素改变。这是因为all_density是介于 0 到 1 之间的,而在定义all_density的时候没有指定数组内部的数据类型,默认是不支持小数的,因此赋值之后all_density的第k个元素仍然是 0。解决方法:定义数组的时候一定要指定元素的数据类型,指定为
dtype=flout64就可以存储高精度的浮点数。
问题描述¶

EM 算法的基本思想和具体步骤¶
基本思想¶

具体步骤¶

关于初始值和终止条件的几点说明¶

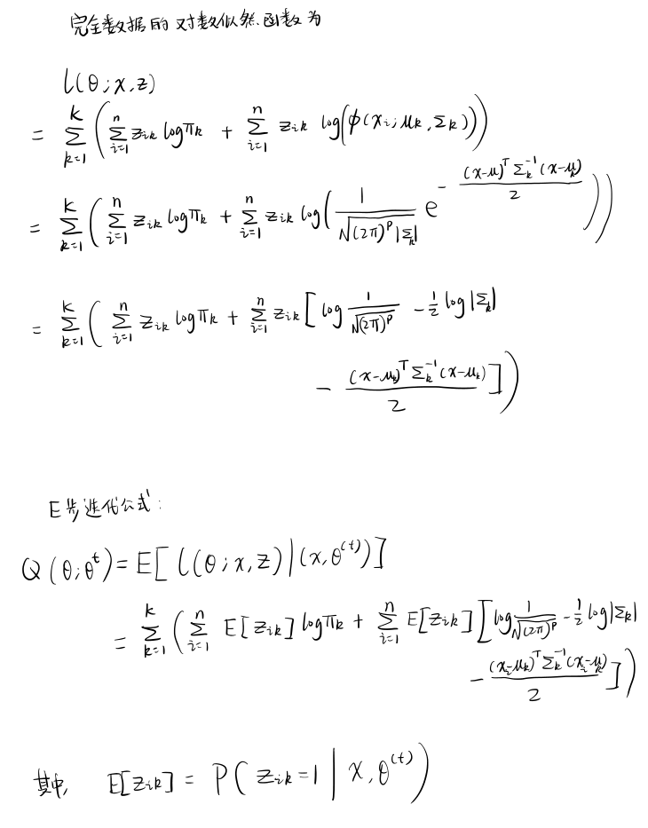
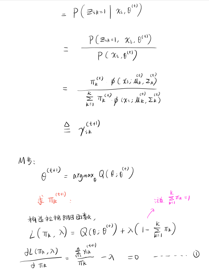
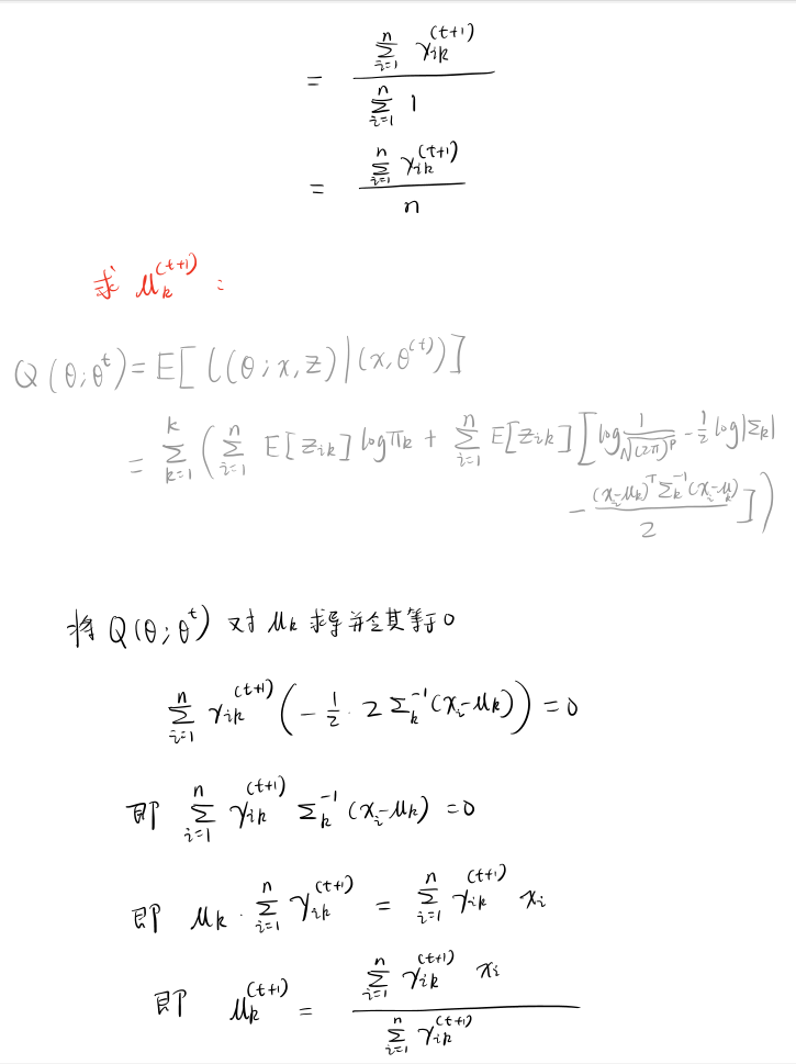
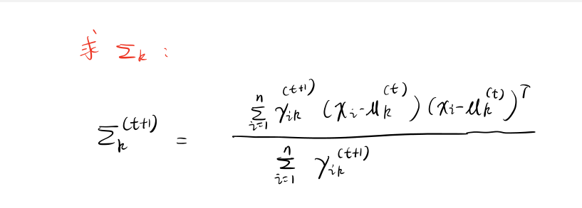
推导多元高斯混合模型聚类的参数迭代公式¶






使用 Python 对数据集进行聚类和各类别的参数求解¶
数据集描述¶


导入包¶
Python
# 导入包
import pandas as pd
import numpy as np
import matplotlib.pyplot as plt
import matplotlib.ticker as ticker
# 显示中文
plt.rcParams["font.sans-serif"] = ["SimSun"]
plt.rcParams["axes.unicode_minus"] = False
# 渲染公式
plt.rcParams["text.usetex"] = True
读取数据¶
Python
# 读取数据,跳过第一列
data = pd.read_csv("EM.csv", index_col=0).values
# 识别数据维度
n, p = data.shape
# 可能来自的分布数量
K = 2
给出所有参数的初始值¶
Python
# 初始化每个数据点来自哪个分布的概率
pai = np.array([0.5] * K, dtype=np.float64)
# 初始化均值矩阵(p*K)。一个分布的均值都是 1,另一个分布的均值都是 0
mu = np.array([[1] * p, [0] * p], dtype=np.float64).T
# 初始化协方差矩阵(p*p*K)。每个分布的协方差都是单位矩阵
sigma = np.array([np.eye(p)] * K, dtype=np.float64)
# 打印初始值
print("pai:\n{}\n\nmu:\n{}\n\nsigma:\n{}".format(pai, mu, sigma))
Text Only
## pai:
## [0.5 0.5]
##
## mu:
## [[1. 0.]
## [1. 0.]
## [1. 0.]
## [1. 0.]
## [1. 0.]
## [1. 0.]
## [1. 0.]
## [1. 0.]
## [1. 0.]
## [1. 0.]]
##
## sigma:
## [[[1. 0. 0. 0. 0. 0. 0. 0. 0. 0.]
## [0. 1. 0. 0. 0. 0. 0. 0. 0. 0.]
## [0. 0. 1. 0. 0. 0. 0. 0. 0. 0.]
## [0. 0. 0. 1. 0. 0. 0. 0. 0. 0.]
## [0. 0. 0. 0. 1. 0. 0. 0. 0. 0.]
## [0. 0. 0. 0. 0. 1. 0. 0. 0. 0.]
## [0. 0. 0. 0. 0. 0. 1. 0. 0. 0.]
## [0. 0. 0. 0. 0. 0. 0. 1. 0. 0.]
## [0. 0. 0. 0. 0. 0. 0. 0. 1. 0.]
## [0. 0. 0. 0. 0. 0. 0. 0. 0. 1.]]
##
## [[1. 0. 0. 0. 0. 0. 0. 0. 0. 0.]
## [0. 1. 0. 0. 0. 0. 0. 0. 0. 0.]
## [0. 0. 1. 0. 0. 0. 0. 0. 0. 0.]
## [0. 0. 0. 1. 0. 0. 0. 0. 0. 0.]
## [0. 0. 0. 0. 1. 0. 0. 0. 0. 0.]
## [0. 0. 0. 0. 0. 1. 0. 0. 0. 0.]
## [0. 0. 0. 0. 0. 0. 1. 0. 0. 0.]
## [0. 0. 0. 0. 0. 0. 0. 1. 0. 0.]
## [0. 0. 0. 0. 0. 0. 0. 0. 1. 0.]
## [0. 0. 0. 0. 0. 0. 0. 0. 0. 1.]]]
迭代更新参数¶
Python
# 求高斯分布的概率密度函数
def gaussian(x, mu, sigma):
return (
1
/ np.sqrt((2 * np.pi) ** p * np.linalg.det(sigma))
* np.exp(-0.5 * (x - mu).T.dot(np.linalg.inv(sigma)).dot(x - mu))
)
# 求给定参数下,数据点属于各分布的概率
def prob(x, mu, sigma, pai, K):
all_density = np.array([0] * K, dtype=np.float64)
for k in range(K):
k_density = pai[k] * gaussian(x, mu[:, k], sigma[k])
all_density[k] = k_density
return all_density / all_density.sum()
Python
all_iteration_pai = [pai]
all_iteration_mu = [mu]
all_iteration_sigma = [sigma]
iteration_count = 0
while True:
iteration_count += 1
# 将所有样本的属于各分布的概率初始化为 0
n_prob = np.array([[0] * K] * n, dtype=np.float64)
# 求所有样本的属于各分布的概率
for i in range(n):
# 求第 i 个样本属于各分布的概率
x = data[i, :].T
prob_i = prob(x, mu, sigma, pai, K)
n_prob[i] = prob_i
# 更新 pai_k
pai = n_prob.sum(axis=0) / n
# 将本轮迭代的 pai 保存
all_iteration_pai.append(pai)
# 更新 mu
mu = data.T.dot(n_prob) / n_prob.sum(axis=0)
# 将本轮迭代的 mu 保存
all_iteration_mu.append(mu)
# 更新 sigma
for k in range(K):
sigma_k = np.zeros((p, p), dtype=np.float64)
for i in range(n):
x = data[i, :].T # x 是列向量
sigma_k += n_prob[i, k] * np.outer(x - mu[:, k], x - mu[:, k])
sigma_k /= n_prob.sum(axis=0)[k]
# sigma_k 是 10*10 的矩阵
sigma[k] = sigma_k
# 将本轮迭代的 sigma 保存
all_iteration_sigma.append(sigma)
# 判断是否达到终止 1
new_mu = all_iteration_mu[-1]
old_mu = all_iteration_mu[-2]
# 当本次迭代得到的 mu 和上次迭代得到的 mu 几乎没有差别时,可以终止迭代
if (np.subtract(new_mu, old_mu) ** 2).sum() < 1e-8:
break
打印出迭代的次数和参数的值¶
Text Only
## mu:
## [[ 1.01500407 0.18662592]
## [ 0.97982009 0.01332565]
## [ 1.00858025 -0.12719368]
## [ 1.0234199 -0.02555446]
## [ 1.04411481 0.00185229]
## [ 1.02298727 0.00717931]
## [ 1.01387045 -0.05989538]
## [ 0.97264306 -0.08819002]
## [ 0.99824314 0.22147017]
## [ 0.92537071 -0.00442322]]
Text Only
## sigma:
## [[[ 4.77850968e-01 2.03033657e-02 3.78546195e-02 -1.01181913e-03
## -2.96115297e-02 -5.54141629e-03 -1.47452695e-02 1.37669547e-02
## -6.28394728e-02 -1.21109511e-02]
## [ 2.03033657e-02 4.77796696e-01 -6.62293811e-03 3.75985666e-02
## -2.04491793e-02 -2.98300772e-03 -8.21489696e-03 -3.22317835e-02
## -5.36574177e-03 4.54354716e-02]
## [ 3.78546195e-02 -6.62293811e-03 4.54636109e-01 -3.51923568e-02
## 6.34667740e-03 -3.56763317e-02 -1.53553017e-03 -1.43510168e-02
## -2.67175562e-02 2.75253474e-02]
## [-1.01181913e-03 3.75985666e-02 -3.51923568e-02 4.54814674e-01
## -1.09588387e-02 -8.04964137e-03 -6.79355591e-02 -1.58610602e-02
## 1.38411070e-03 2.97408576e-02]
## [-2.96115297e-02 -2.04491793e-02 6.34667740e-03 -1.09588387e-02
## 4.18149094e-01 5.14822421e-02 -2.70075163e-02 -4.85719583e-02
## -3.90824938e-02 -9.80214724e-03]
## [-5.54141629e-03 -2.98300772e-03 -3.56763317e-02 -8.04964137e-03
## 5.14822421e-02 5.57272122e-01 -3.35251541e-03 1.08618076e-02
## -1.70210877e-02 -3.56956117e-02]
## [-1.47452695e-02 -8.21489696e-03 -1.53553017e-03 -6.79355591e-02
## -2.70075163e-02 -3.35251541e-03 4.87019479e-01 -3.51035789e-02
## -1.15753668e-02 -1.56505402e-02]
## [ 1.37669547e-02 -3.22317835e-02 -1.43510168e-02 -1.58610602e-02
## -4.85719583e-02 1.08618076e-02 -3.51035789e-02 4.23483429e-01
## 4.98114718e-02 2.34207606e-03]
## [-6.28394728e-02 -5.36574177e-03 -2.67175562e-02 1.38411070e-03
## -3.90824938e-02 -1.70210877e-02 -1.15753668e-02 4.98114718e-02
## 4.82600350e-01 -1.92214963e-02]
## [-1.21109511e-02 4.54354716e-02 2.75253474e-02 2.97408576e-02
## -9.80214724e-03 -3.56956117e-02 -1.56505402e-02 2.34207606e-03
## -1.92214963e-02 5.65086238e-01]]
##
## [[ 9.29295093e-01 4.08010510e-02 -8.23808935e-04 8.44863621e-03
## 1.20218799e-01 -1.11470574e-01 1.53808551e-02 7.88913749e-02
## -2.78554252e-02 3.22006682e-02]
## [ 4.08010510e-02 9.83440827e-01 -5.49377007e-02 -2.71323305e-02
## -5.45668743e-02 1.21946570e-01 2.00130257e-02 9.74783909e-02
## -1.53586564e-01 1.30733179e-01]
## [-8.23808935e-04 -5.49377007e-02 1.07523742e+00 7.43292761e-02
## 3.62964590e-02 -2.81937066e-02 1.96732798e-02 -1.07758450e-01
## 8.91156366e-02 -1.92974649e-02]
## [ 8.44863621e-03 -2.71323305e-02 7.43292761e-02 9.11091322e-01
## 1.89237737e-02 -7.29374832e-02 -1.32674621e-01 -7.57571711e-02
## 5.28107636e-02 -1.12753582e-01]
## [ 1.20218799e-01 -5.45668743e-02 3.62964590e-02 1.89237737e-02
## 8.88748718e-01 -9.57949898e-02 -5.23966099e-02 -9.07784608e-02
## 3.94038498e-02 -7.42123835e-02]
## [-1.11470574e-01 1.21946570e-01 -2.81937066e-02 -7.29374832e-02
## -9.57949898e-02 1.00163225e+00 2.84507420e-02 1.29356885e-01
## 8.54158988e-02 6.04867236e-02]
## [ 1.53808551e-02 2.00130257e-02 1.96732798e-02 -1.32674621e-01
## -5.23966099e-02 2.84507420e-02 9.74886562e-01 -1.91740598e-02
## -1.45956772e-01 4.74506001e-02]
## [ 7.88913749e-02 9.74783909e-02 -1.07758450e-01 -7.57571711e-02
## -9.07784608e-02 1.29356885e-01 -1.91740598e-02 1.07694992e+00
## -1.53518203e-01 1.93095744e-01]
## [-2.78554252e-02 -1.53586564e-01 8.91156366e-02 5.28107636e-02
## 3.94038498e-02 8.54158988e-02 -1.45956772e-01 -1.53518203e-01
## 1.14354842e+00 -4.74273894e-02]
## [ 3.22006682e-02 1.30733179e-01 -1.92974649e-02 -1.12753582e-01
## -7.42123835e-02 6.04867236e-02 4.74506001e-02 1.93095744e-01
## -4.74273894e-02 1.00534259e+00]]]
绘制各参数的迭代变化图¶
Python
fig = plt.figure(figsize=(9, 16))
# 画 pai 的迭代过程
ax1 = fig.add_subplot(311)
# 将横坐标刻度设置为整数,字号设置为 18
ax1.xaxis.set_major_locator(ticker.MultipleLocator(1))
ax1.tick_params(labelsize=18)
ax1.set_ylabel(r"$\pi$", size=18)
ax1.plot(
range(iteration_count + 1),
[all_iteration_pai[i][0] for i in range(iteration_count + 1)],
label=r"$\pi_1$",
)
ax1.plot(
range(iteration_count + 1),
[all_iteration_pai[i][1] for i in range(iteration_count + 1)],
label=r"$\pi_2$",
)
# 显示图例,字号为 18,且图例显示在图外
ax1.legend(fontsize=18, bbox_to_anchor=(1, 1))
# 画第一个分布的 mu 的迭代过程
ax2 = fig.add_subplot(312)
# 将横坐标刻度设置为整数,字号设置为 18
ax2.xaxis.set_major_locator(ticker.MultipleLocator(1))
ax2.tick_params(labelsize=18)
ax2.set_ylabel(r"$\mu_1$", size=18)
for param in range(K * p):
# 只画第一个分布的 mu
if param % 2 == 0:
ax2.plot(
range(iteration_count + 1),
[all_iteration_mu[i][param // 2][0] for i in range(iteration_count + 1)],
label=r"$\mu_{1{%s}}$" % (param // 2 + 1),
)
# 显示图例,字号为 18
ax2.legend(fontsize=18, bbox_to_anchor=(1, 1))
# 画第二个分布的 mu 的迭代过程
ax3 = fig.add_subplot(313)
# 将横坐标刻度设置为整数,字号设置为 18
ax3.xaxis.set_major_locator(ticker.MultipleLocator(1))
ax3.tick_params(labelsize=18)
ax3.set_xlabel("迭代次数", size=18, usetex=False) # 中文不用 tex 渲染,否则会报错
ax3.set_ylabel(r"$\mu_2$", size=18)
for param in range(K * p):
# 只画第二个分布的 mu
if param % 2 == 1:
ax3.plot(
range(iteration_count + 1),
[all_iteration_mu[i][param // 2][1] for i in range(iteration_count + 1)],
label=r"$\mu_{2{%s}}$" % (param // 2 + 1),
)
# 显示图例,字号为 18
ax3.legend(fontsize=18, bbox_to_anchor=(1, 1))
# 标题
fig.suptitle("EM 算法迭代过程", size=20, usetex=False) # 中文不用 tex 渲染,否则会报错
# 标题离图像的距离
fig.subplots_adjust(top=0.95)